Đề thi
ĐỀ THI GIỮA HỌC KỲ 1 MÔN TOÁN LỚP 10 NĂM 2022-2023-HỒ CHÍ MINH
- 01/11/2022
- 1,210 lượt xem
ĐỀ THI GIỮA HỌC KỲ 1 MÔN TOÁN LỚP 10 – TRƯỜNG THPT NGUYỄN HỮU HUÂN ĐỀ THI GIỮA HỌC KỲ 1 MÔN TOÁN LỚP 10 – TRƯỜNG THPT ĐÀO SƠN TÂY ĐỀ THI GIỮA HỌC KỲ 1 MÔN TOÁN LỚP 10 – TRƯỜNG THPT LÊ QUÝ ĐÔN ĐỀ THI GIỮA HỌC KỲ …
ĐỀ THI ĐÁNH GIÁ TUYỂN SINH ĐẠI HỌC CÔNG AN NHÂN DÂN NĂM 2022 MÔN TOÁN
- 20/07/2022
- 824 lượt xem
Nguồn: Sưu tầm
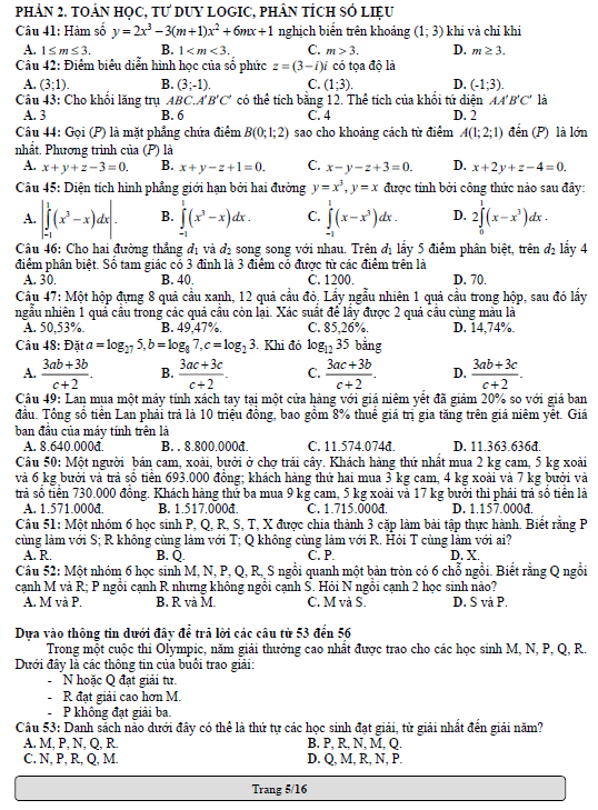
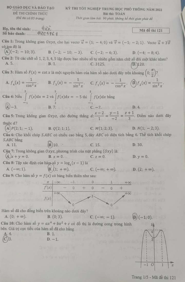
ĐỀ THI TỐT NGHIỆP TRUNG HỌC PHỔ THÔNG NĂM 2022 MÔN TOÁN-121
- 07/07/2022
- 323 lượt xem
Đề thi chính thức Tốt nghiệp trung học phổ thông năm $2022$ môn Toán Ngày thi $7/7/2022$ Mã đề thi $121$ Nguồn: Sưu tầm
ĐỀ THI TỐT NGHIỆP TRUNG HỌC PHỔ THÔNG NĂM 2022 MÔN TOÁN-106
- 07/07/2022
- 346 lượt xem
Đề thi chính thức Tốt nghiệp trung học phổ thông năm $2022$ môn Toán Ngày thi $7/7/2022$ Mã đề thi $106$ Nguồn: Sưu tầm
ĐỀ THI GIỮA HỌC KỲ 1 MÔN TOÁN LỚP 10 NĂM 2022-2023-HỒ CHÍ MINH
- 01/11/2022
- 1,210 lượt xem
ĐỀ THI GIỮA HỌC KỲ 1 MÔN TOÁN LỚP 10 – TRƯỜNG THPT NGUYỄN HỮU HUÂN ĐỀ THI GIỮA HỌC KỲ 1 MÔN TOÁN LỚP 10 – TRƯỜNG THPT ĐÀO SƠN TÂY ĐỀ THI GIỮA HỌC KỲ 1 MÔN TOÁN LỚP 10 – TRƯỜNG THPT LÊ QUÝ ĐÔN ĐỀ THI GIỮA HỌC KỲ …
ĐỀ THI ĐÁNH GIÁ TUYỂN SINH ĐẠI HỌC CÔNG AN NHÂN DÂN NĂM 2022 MÔN TOÁN
- 20/07/2022
- 824 lượt xem
Nguồn: Sưu tầm
ĐỀ THI TỐT NGHIỆP TRUNG HỌC PHỔ THÔNG NĂM 2022 MÔN TOÁN-121
- 07/07/2022
- 323 lượt xem
Đề thi chính thức Tốt nghiệp trung học phổ thông năm $2022$ môn Toán Ngày thi $7/7/2022$ Mã đề thi $121$ Nguồn: Sưu tầm
ĐỀ THI TỐT NGHIỆP TRUNG HỌC PHỔ THÔNG NĂM 2022 MÔN TOÁN-106
- 07/07/2022
- 346 lượt xem
Đề thi chính thức Tốt nghiệp trung học phổ thông năm $2022$ môn Toán Ngày thi $7/7/2022$ Mã đề thi $106$ Nguồn: Sưu tầm
BITEXEDU Chuyên trang chia sẻ tài liệu, kinh nghiệm ứng dụng giải toán trên máy tính cầm tay





