Sử dụng bảng tính giải bài toán dãy số
- 27/01/2026
- 339 lượt xem
![]() |
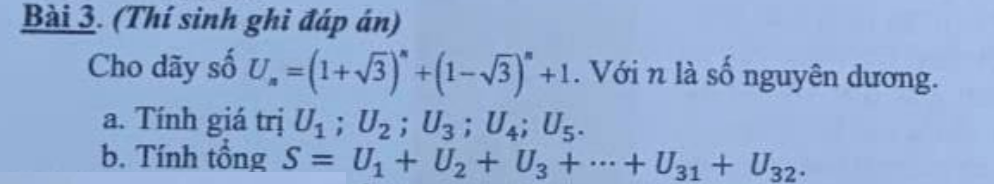
Mở một bảng tính cột A ta đánh số từ 1 đến 32, gán $1+\sqrt3$ vào biến nhớ A và $1-\sqrt3$ vào biến nhớ B. Cột B ta điền công thức sau:
$$B_1=A^{A_1}+B^{A_1}+1$$
phạm vi $B_1:B_{32}$.
Gán hai cơ số vào biến nhớ: 
Dùng điền công thức để đánh số thứ tự: 
Xác định 32 số hạng của dãy.

a) $u_1=3, u_2=9, u_3=21, u_4=57, u_5=153$.
b) Đưa con trỏ tới $B_{33}$ nhập công thức: $\rm SUM(B_1:B_{32})$ 
Bấm $\fbox{HOME}$ nhiều lần rồi bấm $\fbox{OK}$ ra phương thức Tính toán thông thường xử lý số tràn màn hình
.
Vậy $$S=146409357705246.$$
Chia sẻ
BITEXEDU Chuyên trang chia sẻ tài liệu, kinh nghiệm ứng dụng giải toán trên máy tính cầm tay
