Giải thích và bổ sung: Đa thức (Bài 1)
- 09/02/2026
- 888 lượt xem
| Bổ sung 1. Trong buổi học Online nghày 8/2/2026 thầy đã dùng hệ phương trình để giải bài toán tìm đa thức bậc 3 khi cho trước 4 giá trị. Ở đây để củng cố thêm ta dùng đa thức nội suy cho $P(x)$, 4 giá trị cho bởi $g(x)=\dfrac{x}{x+1}, \ x=1, 2, 3, 4.$ |
![]() |

| Bài tập tương tự (đa thức nội suy bậc 6). |
![]() |

Định lý phần dư Trung Hoa cho đa thức.
| Bổ sung 2. Định lý phần dư Trung Hoa cho đa thức bậc 4. Cho $m(x)$ và $n(x)$ là hai đa thức bậc 2 nguyên tố cùng nhau. Nếu đa thức $P(x)$ bậc 4 sao cho
$\left\lbrace\begin{array}{ll}P(x) \equiv ax+b & (\text{mod}\ m(x) )\\
P(x) \equiv cx+d & (\text{mod}\ n(x) )\end{array} \right. $ thì $P(x)=Q(x)+k.m(x).n(x)$
trong đó $Q(x)$ là một đa thức bậc 3 sao cho $\left\lbrace\begin{array}{ll}Q(x) \equiv ax+b & (\text{mod}\ m(x) )\\
Q(x) \equiv cx+d & (\text{mod}\ n(x) )\end{array} \right. $ và $k$ là một số khác $0$. |
| Bài toán. Tìm một đa thức $P(x)$ bậc 4 sao cho khi chia $P(x)$ cho $x^2+5$ dư $-14x+91$, chia $P(x)$ cho $x^2-9$ dư $28x+343$ và $P(9)=28603.$ |
Vì $x^2+5$ và $x^2-9$ nguyên tố cùng nhau nên theo định lý phần dư Trung Hoa ta có:
trong đó $Q(x)$ là một đa thức bậc 3 sao cho khi chia $Q(x)$ cho $x^2+5$ dư $-14x+91$ và chia $Q(x)$ cho $x^2-9$ dư $28x+343$ và $k=\dfrac{P(9)-Q(9)}{(9^2+5)(9^2-9)}$.
$Q(x)=(x^2+5)(ax+b)-14x+91 \equiv (x^2-9)(cx+d)+28x+343$
| Đồng nhất hệ số: $\left\lbrace\begin{array}{ll}a=c&(1)\\ b=d&(2)\\ 5a-14=-9c+28&(3)\\ 5b+91=-9d+343&(4)\end{array} \right. $ | $(1)$ và $(3)$ cho ta $a=c=3$ $(2)$ và $(4)$ cho ta $b=d=18$. |
Vậy $Q(x)=(x^2+5)(3x+18)-14x+91$ gán vào biến nhớ $\boldsymbol{g(x)}$.

.
Vậy $\boldsymbol{P(x)=4x^4+3x^3+2x^2+x+1}$.
| Bổ sung 3. Chia cực nhanh đa thức. |
![]() |

Dùng phương pháp CALC1000 cho phân số: 
Thương: $\boldsymbol{2|99|002 \longrightarrow 3|-1|2 \longrightarrow 3x^2-x+2}$
Sau khi tìm được thương, ta sẽ giải được bài toán.
Tính tổng của thương:
lưu vào A.
Tính tổng của dư 
Chuyển sang phân số: 
Vậy $\boldsymbol{A+m+n=}$ 
| Trong trường hợp muốn tìm dư của phép chia này, ta tiến hành như sau: Dư là đa thức bậc nhỏ hơn hay bằng 1: ![]() Hệ số tự do .Muốn tìm hệ số bậc 1: ta tính giá trị của biểu thức đó khi $x=1$ rồi lấy Ans $-$ PreAns . Vậy hệ số bậc nhất bằng $2016-2016=0$.Kết luận $\boldsymbol{\dfrac{f(x)}{g(x)}=3x^2-x+2+\dfrac{2016}{g(x)}}$. |
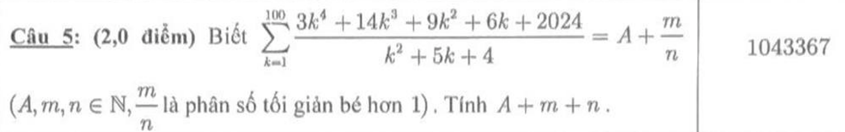
Bài tập tương tự có đáp số.
![]() |
Bài Viết Tương Tự
Về bài toán thống kê dữ liệu ghép nhóm kỳ thi HSG MTCT TÍCH PHÂN HCM năm 2026
Đây là bài toán dành cho học sinh có học lực khá-giỏi thuộc lớp …
BITEXEDU Chuyên trang chia sẻ tài liệu, kinh nghiệm ứng dụng giải toán trên máy tính cầm tay




.
. Vậy hệ số bậc nhất bằng $2016-2016=0$.