Khai triển Taylor trên bảng tính giải bài thi HSG MTCT THCS An Giang 2026
- 6 ngày trước
- 238 lượt xem
![]() |
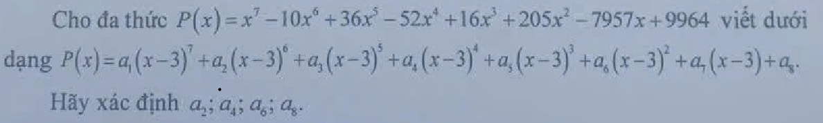
Để tìm các hệ số $a_1, a-2, a_3, \dots, a_8$ trong Giải tích Toán học người ta dùng khai triển Taylor bằng cách tính đạo hàm đến cấp và thay $x=3$ vào chia cho $k!$. Trong khuôn khổ trung học cơ sở, các thầy cô phụ trách dội tuyển đề nghi lập Sơ đồ Horner cho $x=3$ nhiều lần. Cụ thể như sau:

Từ đó suy ra $$a_1=1, a_2=11, a-3=45, a_4=83, a_5=67, a_6=214, a_7=-6808, a_8=-12197$$
Việc thực hiện Sơ đồ Horner theo phương pháp truyền thống sẽ phải tính toán nhiều (dù dễ hiểu). Sau đây chúng tôi hướng dẫn sử dụng bảng tính trên máy tính Casio fx-880BTG.
Mở một bảng tính. Nhập các hệ số $1, -10, 36, -52, 16, 205, -7957, 9964$ lần lượt vào cột A

Nhập hệ số đầu tiên (là số $1$) vào dòng $1$ 
Đưa con trỏ lên $B_2$, tại đây ta điền công thức:
(thực hiện khẩu quyết cho số $3$). Ta nhận được 4 hệ số cuối cùng $a_8, a_7, a_6, a_5$.

Chú ý 4 dòng đầu tiên của cột E
.
ta được các hệ số tiếp theo, bắt đầu là $a_4=83$ và $a_3, a_2, a_1$:
BITEXEDU Chuyên trang chia sẻ tài liệu, kinh nghiệm ứng dụng giải toán trên máy tính cầm tay
