27/05/2026
  • Hướng Dẫn Đăng Bài
  • Email: bitexedu@bitex.com.vn
  • Hotline: 0938 52 54 56
  • Đăng nhập
  • Đăng ký

BITEXEDUBITEXEDU Chuyên trang chia sẻ tài liệu, kinh nghiệm ứng dụng giải toán trên máy tính cầm tay

  • Home
  • THCS
    • HSG Casio THCS
    • Toán lớp 6
    • Toán lớp 7
    • Toán lớp 8
    • Toán lớp 9
  • THPT
    • Lý-Hóa-Sinh
    • HSG Casio THPT
    • Toán lớp 10
    • Toán lớp 11
    • Toán lớp 12
  • Thư viện
    • Đề thi
      • Đề thi Casio
      • Đề thi khác
    • Tài liệu Casio
  • Tin tức
  • HDSD fx880BTG

Giải đề thi HSG MTCT THPT TP HCM

Trang Chủ / THPT / Tài liệu THPT / Toán THPT / HSG Casio THPT / Giải đề thi HSG MTCT THPT TP HCM

Giải đề thi HSG MTCT THPT TP HCM

  • 26/01/2026
  • 1,006 lượt xem
  • bqttoancasio

1. Bài 7- Đa thức nội suy Newton (Bấm vào đây để đọc)

cau7 1

 

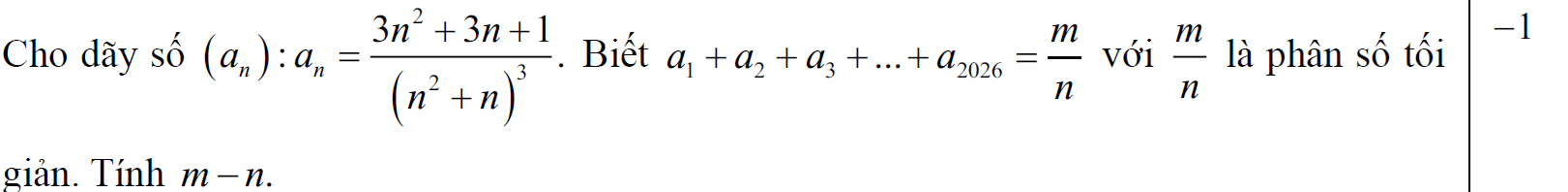
2. Câu 6. Tổng telescoping.

c6h1 1

Chia sẻ

About TS. Nguyễn Thái Sơn

TS. Nguyễn Thái Sơn
Nguyên trưởng Khoa Toán-Tin học ĐHSP TP HCM (1999-2009). Nguyên Giám đốc- Tổng biên tập NXB ĐHSP TP HCM (2009-2011). Nguyên Tổng thư ký Hội Toán học TP HCM (2008-2013).

← Tâm tỉ cự → Về đa thức nội suy Newton

Bài viết liên quan

Phương pháp thủ công vẽ chuỗi đường tròn papus trên Geogebra

16/04/2026

Giải bài toán đa thức bằng phương pháp truyền thống

15/04/2026

Tìm dư của phép chia số $A=2025^{2027^{2028^{2029}}}$ cho $2031$.

15/04/2026

Phương pháp tọa độ tìm khoảng cách giữa hai đường thẳng

06/04/2026

Sử dụng bảng tính lập bảng sai phân cho đa thức bậc 4

25/03/2026

Phương pháp trực quan tìm khoảng cách ngắn nhất giữa parabol và đường tròn

02/03/2026

Tháng Năm 2026
H B T N S B C
 123
45678910
11121314151617
18192021222324
25262728293031
« Th4    

Bài Viết Tương Tự

Khoảng cách ngắn nhất giữa hai parabol đảo chiều

Bài toán mẫu. Cho hai parabol $(P_1): y=x^2-4x+3\ ; (P_2): y=-(x-5)^2$. Tìm khoảng cách ngắn …

BẢN TIN

ĐĂNG KÝ NHẬN BẢN TIN

Để nhận thông tin, tài liệu thường xuyên từ BitexEdu

    Vui lòng nhập đầy đủ thông tin !.

    Thông tin công ty

    • 0938 52 54 56
    • bitexedu@bitex.com.vn
    • Đường tỉnh 835, Ấp 3A, Xã Phước Lợi, Huyện Bến Lức, Tỉnh Long An.
    © Copyright 2019, Công ty Cổ Phần XNK Bình Tây
    GPĐKKD số 0302562816 do Sở KHĐT Tp.HCM cấp ngày 25/03/2004